石河子大学食品学院葡萄与葡萄酒研究中心
蟠桃酒自然发酵过程中微生物群落及其挥发性化合物的动态研究
A snapshot of microbial succession and volatile compound dynamics in flat peach wine during spontaneous fermentation
Frontiers in Microbiology
(中科院二区,JCR一区,IF=6.064)
1 研究背景
桃(Prunus persica L.Batsch)起源于中国西部,在中国有3000多年的栽培历史,全球80多个国家和地区均有栽培。中国的桃有众多品种,其中蟠桃(Prunus persica L. Batsch. var. compressa Bean)因其果实香味浓郁、味道鲜美、营养丰富,深受消费者喜爱。新疆地处欧亚大陆桥腹地,属于典型的大陆性气候,光热资源充足,昼夜温差大,日照时间长,为蟠桃的生长创造了得天独厚的资源优势。
蟠桃已然成为消费者生活中重要的水果之一。但蟠桃属于呼吸跃变型果实,其皮薄,使其在采后运输过程中,极易受机械损伤和微生物感染发生腐败变质。物理保鲜、化学保鲜和生物保鲜等方法已被开发用于蟠桃的保鲜,但这些方法不能从根本上解决蟠桃采后保鲜的问题。因此,有必要开发多样化的蟠桃产品以满足消费者和市场的需求。目前,蟠桃已被加工成蟠桃汁、桃醋、果酒等产品。果酒因兼具水果风味和营养,是众多水果深加工的方式。其中,自然发酵的蟠桃酒富含风味和芳香化合物,但发酵过程复杂,发酵机理尚不明确。
2 文章标题页详情

3 研究成果
3.1 内容简介
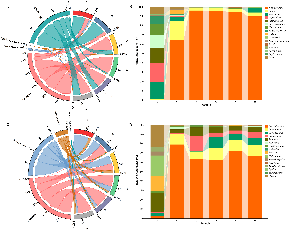
为了解析新疆蟠桃酒自然发酵的机理,分别采用高通量测序(HTS)和顶空固相微萃取结合气相色谱-质谱(HS-SPME-GC-MS)联用技术,研究了蟠桃酒自然发酵过程中微生物种群结构演替和挥发性物质的动态变化,并基于多元数据分析构建微生物种群与挥发性化合物之间的关系。



3.2 研究结论
在本研究中,我们研究了蟠桃酒自然发酵过程中理化性质、挥发性代谢物含量和微生物群落演替的动态变化。自然发酵增强了蟠桃酒的芳香特性。高通量测序结果显示随着蟠桃酒发酵时间的增加,真菌群落多样性显著下降,细菌群落多样性显著增加。对不同发酵阶段挥发性成分与核心功能微生物群之间相互作用的评估表明,微生物在蟠桃酒自然发酵过程中占据重要地位,并负责产生蟠桃酒特有的芳香和挥发性化合物。本研究结果有助于加深对蟠桃酒自然发酵机制的理解,并为蟠桃酒风味改进提供理论依据。
4 专家简介

史学伟,博士,教授,硕士生导师,中共党员,目前主要从事酵母菌的科研工作,科研方向包括酵母菌多样性分析、酵母菌代谢与调控、发酵过程风味组学解析与调控,次生代谢产物代谢途径及其分子调控机理等研究。主持承担了国家自然科学基金、兵团重点领域科技攻关等国家及省部级项目20余项,公开发表学术论文100余篇,其中SCI收录30余篇,EI收录1篇。授权发明专利5项,出版专著和教材8部。获得兵团科技进步奖2项(二等奖1项,三等奖1项),获得专利共5项(其中3项为第一发明人)。在教学方面获得教学研究实践奖以及教学成果奖;参加全国教育信息化大赛获得校级一等奖1项,三等奖1项,国家级二等奖1项;指导学生参加全国大学生计算机设计大赛获三等奖1项,第三届“互联网+”大学生创新创业大赛一等奖1项,十三届“挑战杯”兵团大学生创业计划银奖及其他获奖15余项。

王斌,博士,副教授,硕士生导师,现任葡萄与葡萄酒工程系党支部书记,石河子大学“3152”青年骨干教师。主要从事微生物代谢与调控、微生物多样性分析以及葡萄酒风味修饰等研究工作。曾获第四届国际醋酸菌大会青年讲座“二等奖”、第三届石河子大学“互联网+”大学生创新创业大赛“一等奖”、十三届“挑战杯”兵团大学生创业计划银奖等荣誉20项。主持国家自然科学基金1项、国家科技部“科技助力经济2020”重点专项1项、八师石河子市科技计划项目2项、石河子大学拔尖人才项目1项、石河子大学高层次人才科研启动项目1项,参与国家级、省部级和师厅级项目5项;在国内外各级刊物上公开发表科研论文50余篇,其中SCI收录论文30余篇;申请授权发明专利4项。

徐晓裕,石河子大学食品学院研究生,主要从事食品微生物以及葡萄酒风味化学相关的科研工作。
5 团队介绍
石河子大学食品学院葡萄与葡萄酒工程方向主要围绕葡萄酒发酵微生物制剂开发、葡萄酒酿造工艺技术、葡萄酒质量控制技术、葡萄与葡萄酒功能性成分研究等领域开展科学研究,主要研究方向包括葡萄酒微生物、发酵工程等。
