【学术前沿】雪菊精油微胶囊对熏马肠发酵过程中生物胺含量及品质的影响

发布者:学科建设办公室发布时间:2023-03-16浏览次数:674

石河子大学食品学院畜产品加工与质量安全控制方向: 

雪菊精油微胶囊对熏马肠发酵过程中生物胺含量及品质的影响

The present study evaluated the effect of Coreopsis tinctoria Nutt. essential oil (CEO) and its microcapsules (CEOM) on the accumulation of biogenic amines and the quality of smoked horsemeat sausage during fermentation. The results showed that CEOM is a promising natural preservative to improve the quality and safety of meat products by inhibiting the growth of microorganisms, biogenic amines and oxidation.

Meat Science

(中科院JCR一区TOP期刊,IF=7.077 

1 研究背景

熏马肠是一种产自新疆的传统熏制自然发酵香肠,因其独特的质地、浓郁的新疆风味和优良的营养特性而受到中国人民的青睐。然而,熏马肠的自然发酵过程和丰富的营养有利于腐败细菌的滋生,这不仅会导致颜色特性的下降和风味的恶化,还会导致一些食品安全问题,如生物胺含量较高和脂质氧化程度高等,从而引起广泛关注。生物胺是低分子量含氮有机化合物,通常存在于各种富含蛋白质的发酵食品中。食物中过量的生物胺会对神经系统和心血管系统产生毒性影响,并导致心律失常和持续性神经性头痛。

雪菊(Coreopsis tinctoria Nutt.),一种花茶和草药,可用于延缓衰老和预防高血压。雪菊精油中富含酚酸和黄酮类化合物,赋予了其显著的抗氧化性和抑菌性。雪菊多糖也被认为是一种可以发挥抗菌和抗氧化作用的活性成分。食品中生物胺主要是由一些微生物(主要是腐败微生物)产生的氨基酸脱羧酶对氨基酸脱羧后产生、积累的,可通过添加雪菊精油抑制食品中腐败菌的生长,间接抑制食品中生物胺的积累。

然而,植物精油具有易挥发性、气味浓烈、不溶性和不稳定性等特点。使用包封技术将精油进行包埋后添加到各种食品中,不仅能够隔绝精油强烈的气味,还能有效的减少其挥发性,延长食品保质期并提高其安全性。

迄今为止,许多研究集中于雪菊精油在体外和体内的抗氧化和抗菌活性。而关于其对传统发酵肉制品中生物胺的积累及品质的研究较少。在此,我们试图评估雪菊精油及其微胶囊作为天然防腐剂对生物胺积累和品质的影响,以期为提高传统发酵香肠的质量和安全性提供新的见解。

 

2文章标题页详情

 

3 研究成果

3.1内容简介

本研究在熏马肠中制作过程中分别添加雪菊精油和雪菊精油微胶囊。分析发酵期间pH 值、水分含量、挥发性盐基氮(TVB-N)值、硫代巴比妥酸(TBARS)值、微生物菌数、质构和生物胺积累情况,并对其进行感官评定。探究雪菊精油包埋前后对熏马肠发酵过程中生物胺及品质影响。以期为熏马肠等高蛋白食品中生物胺的控制提供新思路。

 

3.2 研究结论

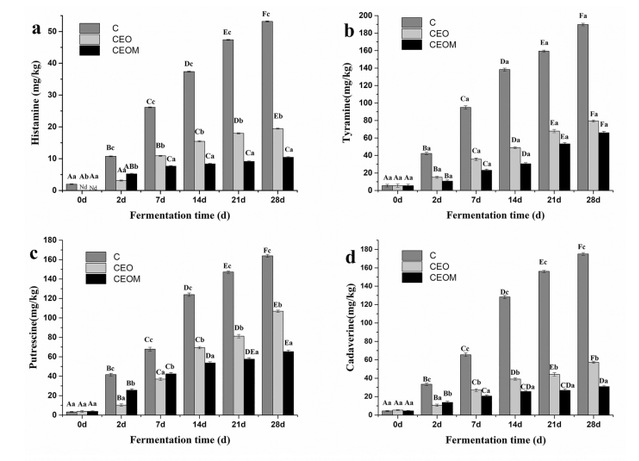
雪菊精油能有效抑制烟熏马肉香肠中肠杆菌科的生长,并能有效减少酪胺、组胺、色胺、尸胺和腐胺的形成,抑制pH 值和挥发性盐基氮值的增加,降低脂肪的氧化程度,有效抑制熏马肠发酵过程中好氧菌数及肠杆菌数的增长,且包埋后的雪菊精油(雪菊精油微胶囊)抑制作用更加显著 (P<0.05),此外,感官评价表明,在制作熏马肠的过程中添加雪菊精油微胶囊是一种有效保持香肠颜色并延缓感官质量恶化的方法。主成分分析显示:熏马肠中生物胺的积累与总好氧菌、肠杆菌、pH 值、TVB-N TBARS 的变化密切相关。因此,建议将雪菊精油微胶囊用作传统发酵肉制品中的天然防腐剂,以抑制BAs的积累,改善产品品质。

Fig. 4. Influence of CEO and CEOM on the formation of biogenic amines of Xinjiang smoked horsemeat sausage during ripening (mean ± S.E.). Note: C, control; CEO, Coreopsis tinctoria essential oil; CEOM, Coreopsis tinctoria essential oil microcapsules. A-F Means followed by different letters in the same sausage group, differ among them at P < 0.05. a-c Means followed by different letters in the same storage time, differ among them at P < 0.05. nd, not detected


4 专家简介

卢士玲教授,博士生导师,中国畜产品研究会常务理事。主要从事畜产品加工与质量安全控制方面的教学和科研工作,主持承担了国家自然基金4项、国家科技人员服务企业、新疆生产建设兵团重点研发、新疆生产建设兵团科技攻关、新疆生产建设兵团科技人员服务企业等省部级项目10余项,在国内外学术期刊上发表论文100余篇,其中SCI收录论文20余篇;获得中国发明专利14项;共同主编或参编著作3部;获省部级科技进步奖3项。先后荣获宝钢教师奖、石河子大学五四青年奖章等多项奖励。

李亚倬石河子大学食品学院研究生,研究方向为畜产品质量安全控制。

5 团队介绍

石河子大学食品学院畜产品加工与质量安全控制方向主要围绕肉乳蛋精深加工质量安全控制理论和生产实际问题开展科学研究,主要研究方向包括牛羊肉及肉制品综合保鲜、新疆特色预制菜关键生产技术研究、新疆传统肉制品现代化关键技术及安全控制,传统发酵肉制品质量安全控制研究、益生菌研究及发酵乳制品开发研究方向、有害微生物风险评估方向、微生物耐药性方向、鸡蛋保鲜及深加工研究、食物过敏原等。